# Big Meeting ### July 2024 #### Tanausú Hernández Yanes --- ## Expansion of dipolar gas in 1D and 2D lattices Main points of research: - Experimentally revelant interaction strengths - Expansion rates - Anisotropy (in 2D) --- ## Extended Bose-Hubbard Hamiltonian ` $$ \begin{align} \hat{H} =& -J \sum_j (\hat{b}_{j+1}^\dagger \hat{b}_j + \mathrm{h.c.}) \\ &+ \frac{U}{2} \sum_j \hat{n}_j(\hat{n}_j - 1) \\ &+ \sum_{i
--- ## $U < \infty$?  --- ## Resonant states in 1D Can we find states of equal energy to that of a cluster?
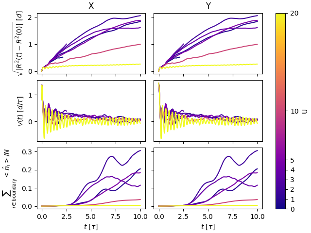
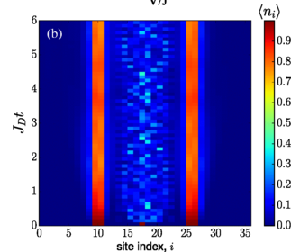
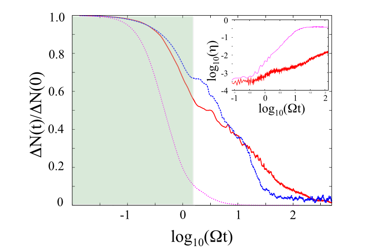
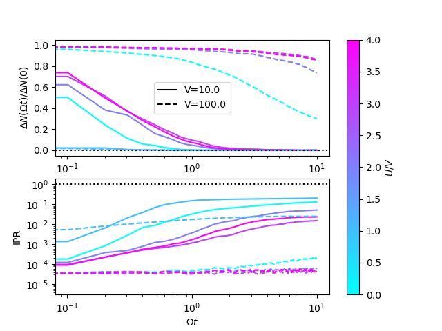
--- ## Resonant states Values of $U$ where, at least, one resonant state exists at a given perturbation order (number of hops):  Notes: In reality, states that are not strictly resonant will also be populated depending on the perturbation strength. Moreover, long-range tail should increase number and variety of resonances. --- ## Expansion for different U/V  $J=1, V=10J, N =4, L = 20$ --- ## Short time scales, Larger V  $J=1, V=50J, N = 4, L = 12$ --- ## What happens to the expansion when we increase the number of particles? --- ## First passage test  --- ## First passage  --- ## First passage (with MPS)  --- ## Is this applicable to other results? --- ## Quasi Many-Body Localization DOI: 10.1103/PhysRevLett.124.010404  $V = 50J$ --- ## Quasi Many-Body Localization $V = 50J$  --- ## Dimerization resuts DOI: 10.1103/PhysRevB.92.180406  --- ## Inhomogeneity and IPR DOI: 10.1103/PhysRevB.92.180406  --- ## Inhomogeneity and IPR  --- ## Next steps - Increase $N$ - Increase $V$ - Hilbert space shattering - Write up