slides
Strict Conditions for Confinement in the extended Bose-Hubbard model
April 2025
Tanausú Hernández-Yanes
Extended Bose-Hubbard Hamiltonian
\[ \begin{align} \hat{H} =& -J \sum_{j} (\hat{b}_{j+1}^\dagger \hat{b}_j + \mathrm{h.c.}) \\ &+ \frac{U}{2} \sum_{j} \hat{n}_j(\hat{n}_j - 1) \\ &+ \sum_{i < j}^\text{cutoff} \frac{V_{ij}}{|i-j|^3}\hat{n}_i \hat{n}_j, \end{align} \]
Initial assumptions about the model
- \(J \ll U, V\)
- \(U \to \infty\)
Formation of inter-site bound clusters

When is \(U \to \infty\) reasonable?
When is \(U \to \infty\) reasonable?

Resonant states
Can we find states of equal energy to that of a cluster?
Resonant states
Values of \(U\) where, at least, one resonant state exists at a given perturbation order (number of hops):

Second-order processes
From cluster to another state in two hops
\[ \hat{H}_{\mathrm{eff},i\neq j}^{(2)} = \frac{1}{2}\sum_l \left( \frac{\hat{V}_{il}\hat{V}_{lj}}{E_i - E_l} + \frac{\hat{V}_{jl}\hat{V}_{li}}{E_j - E_l} \right) \]
Second-order processes
From cluster to another state in two hops

Center of Mass Displacement
Examples of CoM conserving Fock states after two hops \[\ket{\dots, 1, 0, 3, 0, 1, \dots}\] \[\ket{2, 0, 1, \dots, 1, 0, 2}\] \[\ket{1, 0, 1, \dots, 1, 0, 2}\]
Center of Mass Displacement

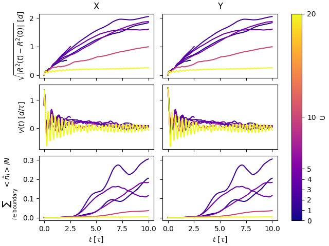
Expansion for different U/V

\(V=10J, N = 8, M = 20\)
Is this applicable to other results?
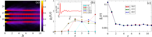
Quasi Many-Body Localization

\(V = 50J\)
Quasi Many-Body Localization
\(V = 50J\)

Dimerization resuts

Inhomogeneity and IPR

Inhomogeneity and IPR

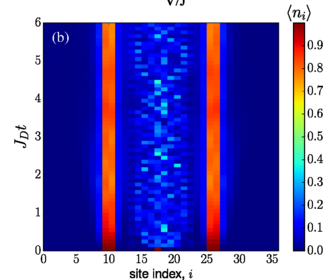
Hilbert Space Shattering

TBD
What happens to the expansion when we increase the number of particles?
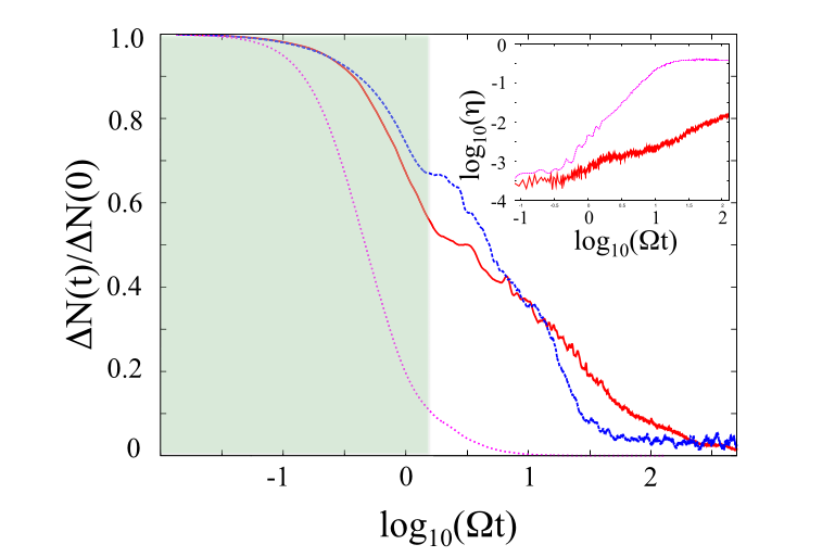
First passage test

First passage

Approximations with MPS
\(N = 5, V = 10J, U = 17J, dt = 0.1/J\)

Truncation error

First passage (with MPS)

Expansion of 2x2 cluster
Resonant states
Expansion can be anisotropic, depending on dipole polarization
Isotropic Expansion
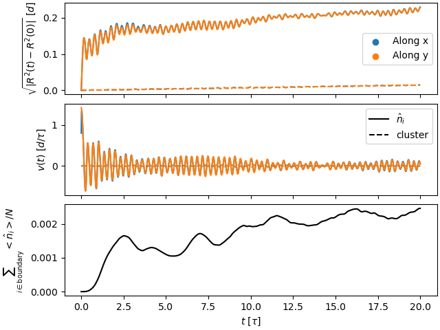
\(J = 1 Hz, V = 10 J, \theta= 0, \phi = 0\)

Ballistic expansion
\(J = 1 Hz, V = 31 J, \sin\theta= \sqrt{2/3}, \phi = \pi/4\)

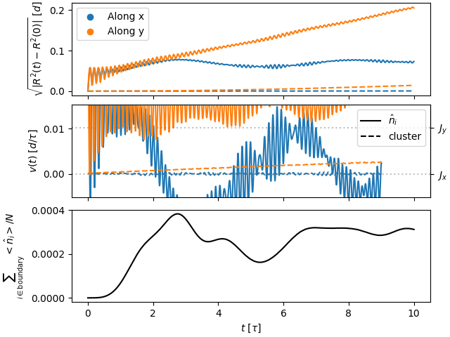
Anisotropic Expansion
\(J = 1 Hz, V = 50 J, \theta= 0.1982\pi, \phi = 0.7953\pi\)

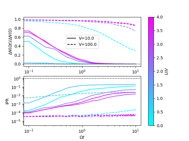
\(U < \infty\)?
Isotropic dipolar interactions

Conclusions
- We require \(U > 4V\) to see confinement-related phenomena at the second-order time scales
- Results like dimerization, quasi-localization, and Hilbert space shattering are affected
- 2D lattice can show anisotropic expansion rate at \(U\to\infty\)
- Results also dependent on finite U in a similar fashion