Chaos i Informacja Kwantowa
2025-10-27
A state can achieve quantum advantage only if it contains a sufficient amount of non-stabilizerness, measured by, for instance, the stabilizer Rényi entropy \(\mathcal{M}_q\).
Shalma Wegsman, Particle Physicists Detect ‘Magic’ at the Large Hadron Collider, Quanta Magazine (2025)
For a single qubit, the polytope is defined by the convex mixture of its six Pauli eigenstates
\[\text{conv} \left\{\frac{1+\vec{a}\cdot\vec{\sigma}}{2}\right\}_{\vec{a}\in{\pm \vec{x}, \pm \vec{y}, \pm \vec{z}}} \]

\[ \rho = \frac{1}{2}(1 + \vec{r}\cdot\vec{\sigma}) \rightarrow |r_x| + |r_y| + |r_z| \le 1 \]
\[ \mathcal{NS}(\rho) = \min_{\sigma\in\text{STAB}} \frac{1}{2}|| \rho - \sigma||_1 \]
Group description is more compact through generators \(\hat{X}, \hat{Z}\). Any non-trivial subgroup \(S\) requires
Clifford unitary operations map Pauli string to Pauli string (permutations)
Stabilizer operations are compositions of:
Relative entropy is a well defined monotone for any resource
\[ r_\mathcal{M} (\rho) = \min_{\sigma\in \text{STAB}} S(\rho || \sigma) \]
\[\begin{equation} \mathcal{M}_q(|\psi\rangle)=\frac{1}{1-q}\log_2\!\left(\frac{1}{2^N}\sum_{\hat{P}\in\mathcal{P}_N}\!\!\langle \psi|\hat{P}| \psi \rangle^{2q}\right) \end{equation}\]
where \(\hat{P}\) is a Pauli string, a tensor product of local Pauli operators and the identity.







The computational complexity of the SRE is exponential, as we need to obtain \(4^N\) expectation values.
Said complexity is reduced in the permutation invariant sector to polynomial1, \(\mathcal{O}(N^3)\).
Can we do better?
\[\begin{equation} \lim_{N \to \infty} \mathcal{M}_q \simeq \frac{1}{1-q}\log_2\left( \frac{1}{2} \sum_{\sigma\in \{X,Y,Z\}} \sum_{n=1}^2 \sum_{m=1}^2 \left(c_{n, m}^{(\sigma)}\right)^{2q} \right) ,\end{equation}\]
with coefficients
\(c^{(\sigma)}_{1,m} = |\bra{\sigma}\ket{\psi}|^2 + (-1)^m |\bra{-\sigma}\ket{\psi}|^2\), \(c^{(\sigma)}_{2,m} = \sqrt{(-1)^m}(\bra{\psi}\ket{-\sigma}\bra{\sigma}\ket{\psi} +(-1)^m \bra{\psi}\ket{\sigma}\bra{-\sigma}\ket{\psi})\).
A natural choice is to use the angular momentum eigenstates \(\ket{J = N/2, m}\).
We choose instead the overcomplete basis of spin coherent states
\[\begin{align} \ket{\theta, \phi} =& \bigotimes_{j=1}^{2J} \left( \cos({\theta}/{2})\ket{0} + e^{-i\phi}\sin({\theta}/{2})\ket{1} \right) \\ =& \sum_{m=-J}^{J} \sqrt{2J \choose J+m} \cos^{J-m} \frac{\theta}{2} \left(\sin\frac{\theta}{2} e^{-i\phi}\right)^{J+m}\ket{J, m} \end{align}\]
\[\begin{multline} \hat{\mathbb{I}}_{J}\hat{P}\hat{\mathbb{I}}_{J} = \left( \frac{2J+1}{4\pi} \right)^2 \int \int d\vb*{\Omega} d\vb*{\Omega'} \ket{\theta, \phi} \bra{\theta', \phi'} \\ \class{fragment grow highlight-blue}{{} \cdot \bra{\theta, \phi} \hat{P} \ket{\theta', \phi'}} \end{multline}\]
\(\ket{\theta = \acos(3^{-1/2}), \phi = \pi / 4 }\) (black), best squeezed state for TACT (purple), and kitten state with \(n=8\) (orange).
\[\begin{equation} \ket{\psi(t)} = \exp\left\{-i \frac{\chi t}{4 \hbar}\hat{Z}^2 \right\} \ket{X},\quad \hat{Z} \equiv \sum_j \hat{Z}_j \end{equation}\]
\[ \xi^2 = N \frac{\min_{\vb*{n}} (\Delta \hat{\sigma}_{\perp, \vb*{n}}^2 )}{\ev*{\hat{X}}^2} \gtrsim N^{-2/3} \]
\(t \lesssim t_\mathrm{best}\)
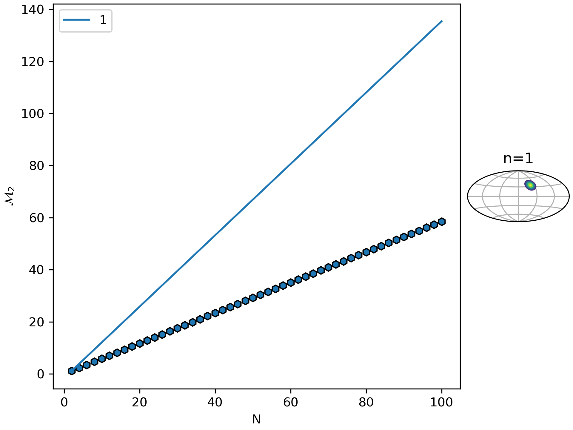
\(N=100\)
\[\begin{equation} Q = \log_2(2^N {\mathcal E})<0,\quad {\mathcal E}= \left|\frac{1}{N!}\ev{\left(\frac{\hat Y +i\hat Z}{2}\right)^N}\right|^2 \end{equation}\]
\[ Q(t = t_\mathrm{best}) \approx N - aN^{1/3} \]
At \(t_\mathrm{best}\), SRE scales with \(\log_2(N)\) while \(Q\) scales sub-linearly with \(N\).
What about other metrologically useful states?
\(\chi t \leq \frac{\pi}{2}\)
\(N=100\)
SRE is fixed, but grows with \(n\), while \(Q \simeq N-2\log_2(n)\). Anti-correlation of SRE and \(Q\) for kitten states.
Funding: National Science Centre, Poland, project 2021/03/Y/ST2/00186
\[\begin{equation} \ket{\psi(t)} = \exp\left\{-i \frac{\chi t}{4 \hbar}(\hat{Z}\hat{Y} + \hat{Y}\hat{Z}) \right\} \ket{X} \end{equation}\]
\(N=100\)
Same conclusions as OAT.
Same conclusions as OAT.
\[\begin{equation} \lim_{N\to\infty} \mathcal{M}_q(\ket{J = N/2, 0}) \simeq \frac{q}{q-1}\log_2\left(\frac{\pi N}{8}\right) - \frac{1}{q-1} \end{equation}\]
SRE scaling of best squeezed states under OAT and TACT, and \(\ket{J = N/2, 0}\).
\[ Q \approx N - \log_2 N + \log_2 \frac{2}{\pi} \]
\[\begin{equation} \frac{1}{\sqrt{K}}\left( \ket{\theta=0, \phi=0} + \ket{\theta = 2\epsilon, \phi=0} \right) \end{equation}\]
\[\begin{equation} \bra{\theta_i, \phi_i}\hat{P}\ket{\theta_j, \phi_j} = (\alpha_{i,j})^{N_X} (\beta_{i,j})^{N_Y} (\gamma_{i,j})^{N_Z} (\kappa_{i,j})^{N_I} ,\end{equation}\] where \(N_\sigma\) denotes the number of distinct Pauli operators \(\hat{\sigma}\) composing the Pauli string.
Implicit constraints:
\(0 \le x \le 1,\quad \forall x \in \{|\alpha_{i,j}|^2, |\beta_{i,j}|^2, |\gamma_{i,j}|^2, |\kappa_{i,j}|^2\}\),
\(|\alpha_{i,j}|^2 + |\beta_{i,j}|^2 + |\gamma_{i,j}|^2 + |\kappa_{i,j}|^2 = 2\).
\(x_1, x_2, x_3, x_4 \in \mathcal{P}\{|\alpha_{i,j}|^2, |\beta_{i,j}|^2, |\gamma_{i,j}|^2, |\kappa_{i,j}|^2\}\)
\[\begin{equation} \ev*{\hat{P}} \simeq \sum_{\sigma \in \{X,Y,Z\}} \Bigg( c_{1,N_\sigma}^{(\sigma)} \bra{\sigma}\hat{P}\ket{\sigma} + \frac{c_{2,N_{\overline{ \sigma}}}^{(\sigma)}}{\sqrt{(-1)^{N_{\overline{ \sigma}}}}} \bra{\sigma}\hat{P}\ket{-\sigma} \Bigg) \end{equation}\]
After some combinatorial calculations, we obtain
\[\begin{equation} \lim_{N \to \infty} \mathcal{M}_q \simeq \frac{1}{1-q}\log_2\left( \frac{1}{2} \sum_{\sigma\in \{X,Y,Z\}} \sum_{n=1}^2 \sum_{m=1}^2 \left(c_{n, m}^{(\sigma)}\right)^{2q} \right) \end{equation}\]
\(N=100\)


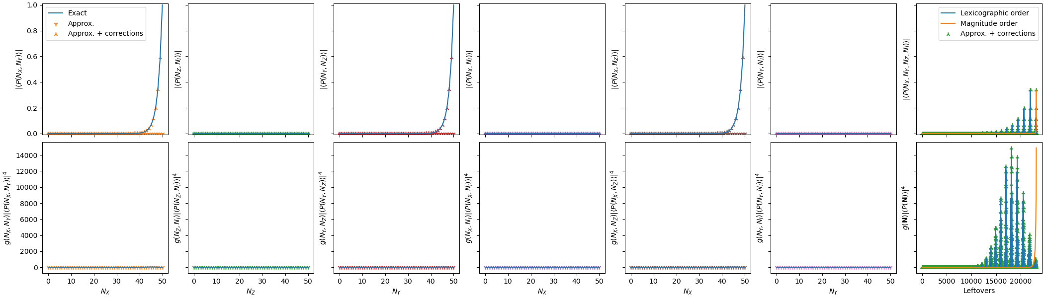
\[ \ket{\theta = 0, \phi = 0} + \ket{\theta = \pi/3, \phi = 0} \]
\(N=50\)
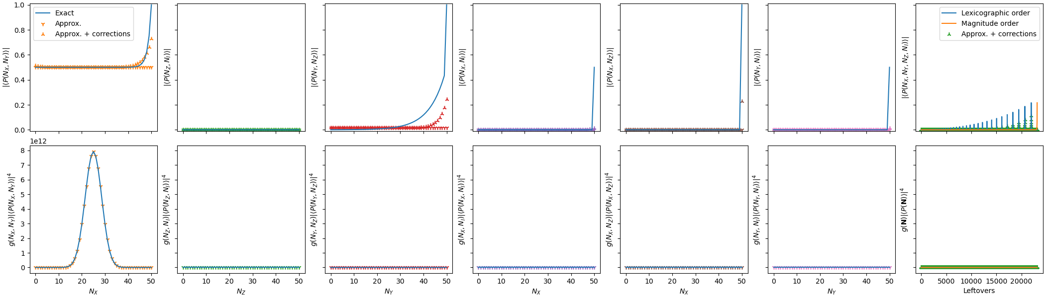
\[ \ket{\theta = \acos(3^{-1/2}), \phi = \pi/4} \]
\(N=50\)
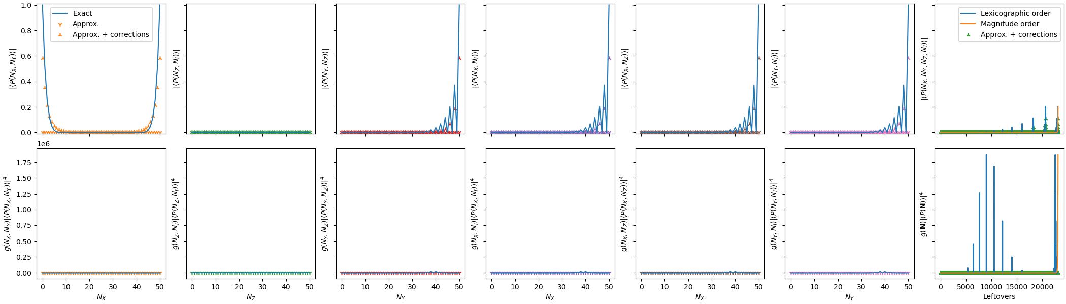
\[\ket{J=N/2, m = N/4}\]
\(N=50\)